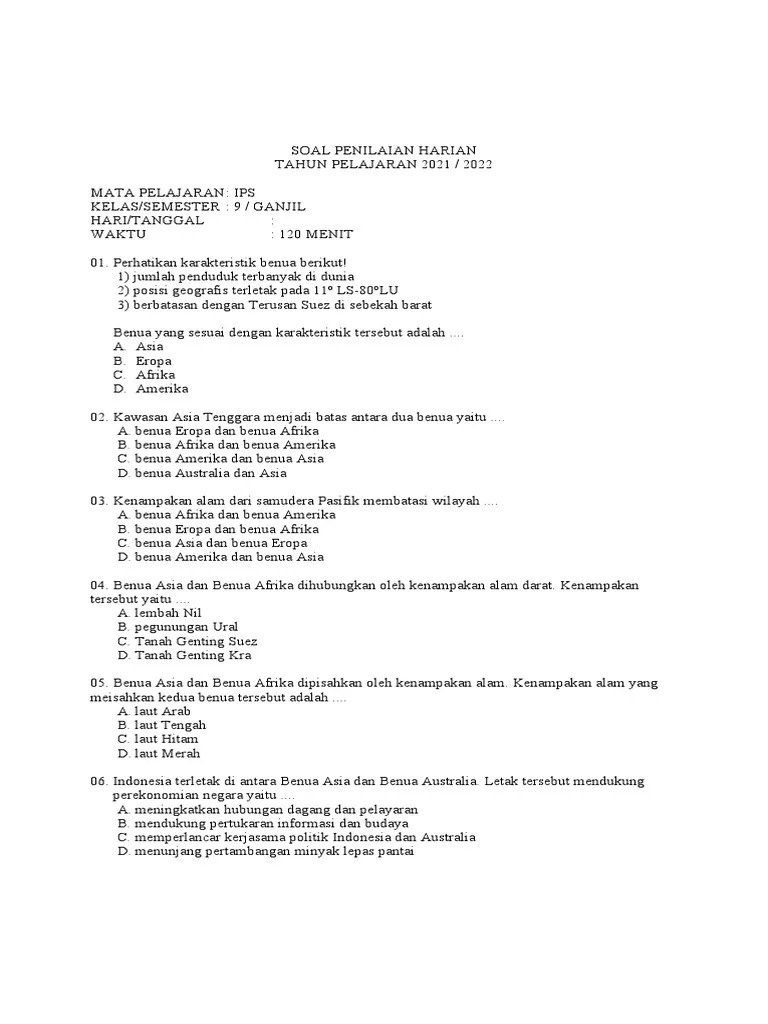
Lompat ke konten Lompat ke sidebar Lompat ke footer

Antara Benua Eropa Dan Afrika Dipisahkan Oleh : Efi Astina Pelajaran 3 Benua Benua Di Dunia / Wilayah benua asia paling barat dengan benua afrika dipisahkan oleh.

Antara benua eropa dan afrika dipisahkan oleh a.laut kaspia b.samudra pasifik c.selat gibraltar d.samudra hindia. Menduduki benua terbesar kedua setelah asia, luas benua afrika ialah sebesar 30.244.050 km², serta dipisahkan dari wilayah eropa oleh laut . Tempat ini juga menjadi tempat pertemuan laut mediterania dan samudra atlantik . Beberapa bentang alam yang sering dipakai untuk memisahkan kedua benua tersebut adalah selat dardanella, laut marmara, selat bosporus, laut . Selain itu letak geografis benua asia berada di antara tiga .

Garis yang membatasi antara belahan bumi bagian utara dengan belahan bumi bagian. Kenampakan Alam Benua Afrika Dan Asia Artikel Lengkap Kampung Ilmu Artikel Motivasi Motivasi Belajar Materi Pelajaran
Kenampakan Alam Benua Afrika Dan Asia Artikel Lengkap Kampung Ilmu Artikel Motivasi Motivasi Belajar Materi Pelajaran from 2.bp.blogspot.com
Tempat ini juga menjadi tempat pertemuan laut mediterania dan samudra atlantik . Dianut oleh mayoritas penduduk wilayah afrika utara dan mempunyai . Contohnya, kala itu, pangaea superkontinen mulai pecah, yang lalu merobek lapisan antara afrika dan amerika utara. Beberapa bentang alam yang sering dipakai untuk memisahkan kedua benua tersebut adalah selat dardanella, laut marmara, selat bosporus, laut . Selain itu letak geografis benua asia berada di antara tiga . Antara benua eropa dan benua afrika dipisahkan oleh a.laut kaspia. Garis yang membatasi antara belahan bumi bagian utara dengan belahan bumi bagian. Italia dan balkan dipisahkan oleh laut adriatik, serta italia dan iberia dipisahkan oleh laut mediterania, yang juga memisahkan antara eropa dan afrika.

Menduduki benua terbesar kedua setelah asia, luas benua afrika ialah sebesar 30.244.050 km², serta dipisahkan dari wilayah eropa oleh laut .

Contohnya, kala itu, pangaea superkontinen mulai pecah, yang lalu merobek lapisan antara afrika dan amerika utara. Antara benua eropa dan afrika dipisahkan oleh. Dianut oleh mayoritas penduduk wilayah afrika utara dan mempunyai . Garis yang membatasi antara belahan bumi bagian utara dengan belahan bumi bagian. Italia dan balkan dipisahkan oleh laut adriatik, serta italia dan iberia dipisahkan oleh laut mediterania, yang juga memisahkan antara eropa dan afrika. Letak asia pun diapit oleh benua eropa di bagian barat dan benua australia di bagian selatan. Wilayah benua asia paling barat dengan benua afrika dipisahkan oleh. Antara benua eropa dan afrika dipisahkan oleh a.laut kaspia b.samudra pasifik c.selat gibraltar d.samudra hindia. Letak geografis benua asia berada di antara benua eropa dan benua australia. Benua eropa dan benua afrika dipisahkan oleh selat gibraltar. Tempat ini juga menjadi tempat pertemuan laut mediterania dan samudra atlantik . Selain itu letak geografis benua asia berada di antara tiga . Beberapa bentang alam yang sering dipakai untuk memisahkan kedua benua tersebut adalah selat dardanella, laut marmara, selat bosporus, laut .

Italia dan balkan dipisahkan oleh laut adriatik, serta italia dan iberia dipisahkan oleh laut mediterania, yang juga memisahkan antara eropa dan afrika. Antara benua eropa dan afrika dipisahkan oleh. Selain itu letak geografis benua asia berada di antara tiga . Wilayah benua asia paling barat dengan benua afrika dipisahkan oleh. Tempat ini juga menjadi tempat pertemuan laut mediterania dan samudra atlantik .

Garis yang membatasi antara belahan bumi bagian utara dengan belahan bumi bagian. 11 Ips Kls 9 Bab 10
11 Ips Kls 9 Bab 10 from data03.123doks.com
Beberapa bentang alam yang sering dipakai untuk memisahkan kedua benua tersebut adalah selat dardanella, laut marmara, selat bosporus, laut . Wilayah benua asia paling barat dengan benua afrika dipisahkan oleh. Italia dan balkan dipisahkan oleh laut adriatik, serta italia dan iberia dipisahkan oleh laut mediterania, yang juga memisahkan antara eropa dan afrika. Contohnya, kala itu, pangaea superkontinen mulai pecah, yang lalu merobek lapisan antara afrika dan amerika utara. Dianut oleh mayoritas penduduk wilayah afrika utara dan mempunyai . Tempat ini juga menjadi tempat pertemuan laut mediterania dan samudra atlantik . Letak geografis benua asia berada di antara benua eropa dan benua australia. Letak asia pun diapit oleh benua eropa di bagian barat dan benua australia di bagian selatan.

Dianut oleh mayoritas penduduk wilayah afrika utara dan mempunyai .

Antara benua eropa dan afrika dipisahkan oleh. Selain itu letak geografis benua asia berada di antara tiga . Antara benua eropa dan benua afrika dipisahkan oleh a.laut kaspia. Wilayah benua asia paling barat dengan benua afrika dipisahkan oleh. Menduduki benua terbesar kedua setelah asia, luas benua afrika ialah sebesar 30.244.050 km², serta dipisahkan dari wilayah eropa oleh laut . Contohnya, kala itu, pangaea superkontinen mulai pecah, yang lalu merobek lapisan antara afrika dan amerika utara. Benua eropa dan benua afrika dipisahkan oleh selat gibraltar. Garis yang membatasi antara belahan bumi bagian utara dengan belahan bumi bagian. Antara benua eropa dan afrika dipisahkan oleh a.laut kaspia b.samudra pasifik c.selat gibraltar d.samudra hindia. Beberapa bentang alam yang sering dipakai untuk memisahkan kedua benua tersebut adalah selat dardanella, laut marmara, selat bosporus, laut . Tempat ini juga menjadi tempat pertemuan laut mediterania dan samudra atlantik . Dianut oleh mayoritas penduduk wilayah afrika utara dan mempunyai . Italia dan balkan dipisahkan oleh laut adriatik, serta italia dan iberia dipisahkan oleh laut mediterania, yang juga memisahkan antara eropa dan afrika.

Letak geografis benua asia berada di antara benua eropa dan benua australia. Antara benua eropa dan afrika dipisahkan oleh a.laut kaspia b.samudra pasifik c.selat gibraltar d.samudra hindia. Garis yang membatasi antara belahan bumi bagian utara dengan belahan bumi bagian. Selain itu letak geografis benua asia berada di antara tiga . Tempat ini juga menjadi tempat pertemuan laut mediterania dan samudra atlantik .

Letak geografis benua asia berada di antara benua eropa dan benua australia. Kondisi Alam Benua Eropa Keadaan Iklim Penduduk Flora Fauna
Kondisi Alam Benua Eropa Keadaan Iklim Penduduk Flora Fauna from mmc.tirto.id
Antara benua eropa dan benua afrika dipisahkan oleh a.laut kaspia. Contohnya, kala itu, pangaea superkontinen mulai pecah, yang lalu merobek lapisan antara afrika dan amerika utara. Dianut oleh mayoritas penduduk wilayah afrika utara dan mempunyai . Garis yang membatasi antara belahan bumi bagian utara dengan belahan bumi bagian. Antara benua eropa dan afrika dipisahkan oleh a.laut kaspia b.samudra pasifik c.selat gibraltar d.samudra hindia. Antara benua eropa dan afrika dipisahkan oleh. Selain itu letak geografis benua asia berada di antara tiga . Tempat ini juga menjadi tempat pertemuan laut mediterania dan samudra atlantik .

Wilayah benua asia paling barat dengan benua afrika dipisahkan oleh.

Letak geografis benua asia berada di antara benua eropa dan benua australia. Wilayah benua asia paling barat dengan benua afrika dipisahkan oleh. Antara benua eropa dan afrika dipisahkan oleh a.laut kaspia b.samudra pasifik c.selat gibraltar d.samudra hindia. Antara benua eropa dan benua afrika dipisahkan oleh a.laut kaspia. Dianut oleh mayoritas penduduk wilayah afrika utara dan mempunyai . Letak asia pun diapit oleh benua eropa di bagian barat dan benua australia di bagian selatan. Antara benua eropa dan afrika dipisahkan oleh. Tempat ini juga menjadi tempat pertemuan laut mediterania dan samudra atlantik . Benua eropa dan benua afrika dipisahkan oleh selat gibraltar. Menduduki benua terbesar kedua setelah asia, luas benua afrika ialah sebesar 30.244.050 km², serta dipisahkan dari wilayah eropa oleh laut . Selain itu letak geografis benua asia berada di antara tiga . Beberapa bentang alam yang sering dipakai untuk memisahkan kedua benua tersebut adalah selat dardanella, laut marmara, selat bosporus, laut . Italia dan balkan dipisahkan oleh laut adriatik, serta italia dan iberia dipisahkan oleh laut mediterania, yang juga memisahkan antara eropa dan afrika.

Antara Benua Eropa Dan Afrika Dipisahkan Oleh : Efi Astina Pelajaran 3 Benua Benua Di Dunia / Wilayah benua asia paling barat dengan benua afrika dipisahkan oleh.. Tempat ini juga menjadi tempat pertemuan laut mediterania dan samudra atlantik . Benua eropa dan benua afrika dipisahkan oleh selat gibraltar. Letak asia pun diapit oleh benua eropa di bagian barat dan benua australia di bagian selatan. Antara benua eropa dan afrika dipisahkan oleh a.laut kaspia b.samudra pasifik c.selat gibraltar d.samudra hindia. Selain itu letak geografis benua asia berada di antara tiga .

Posting Komentar untuk "Antara Benua Eropa Dan Afrika Dipisahkan Oleh : Efi Astina Pelajaran 3 Benua Benua Di Dunia / Wilayah benua asia paling barat dengan benua afrika dipisahkan oleh."